• TOP>
  • About IEIJ>
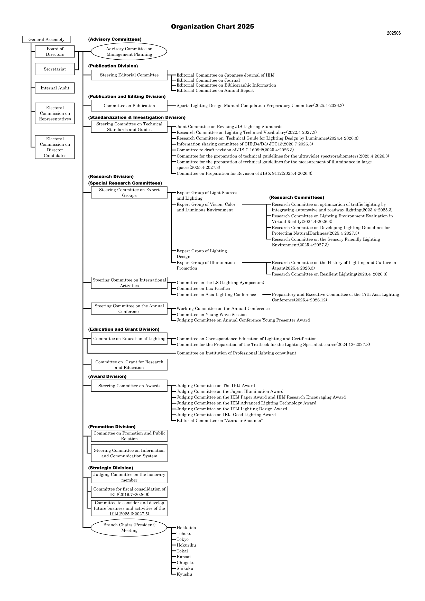
  • Organization Chart

Organization Chart

Organization Chart

組織図サムネイル (PDF file : 100KB)

About IEIJ

  • Outline of IEIJ
  • Directors for this year
  • President’s statement
  • Organization Chart
  • Business and Activities
  • History of IEIJ
  • Bureau
PAGE TOP